비급여 진료내용


 (2026년 01월 01일부터 적용)


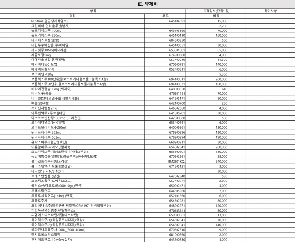
*클릭하시면 크게 보실 수 있습니다.

이전글
다음글 비급여 진료내용